Die Homepage von Joachim Mohr  

Zuück

Gleichung 4. Grades

Gleichung 3. Grades

Gegegeben ist die Gleichung x3 + ax2 +bx +c =0.

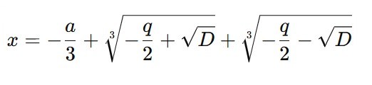
Die Lösung dieser Gleichung ist
Lösungsformel 3. Grades
  
             2        3
            a       2a    ab               q 2    p 3
mit p = b - ——  q = ——— - —— + c  und D = (—)  + (—)
            3       27    3                2      3

Beachte: Die dtritte Wurzel hat im Komplexen drei Lösungen.
Kopierbar: 

p:=b-a^2/3; q:=2*a^3/27-a*b/3+c; D:=(q/2)^2+(p/3)^3; 
x:=-a/3+(-q/2+sqrt(D))^(1/3)+(-q/2-sqrt(D))^(1/3);    

Beispiel 1

3g2
            
                             3    2
Gegegeben ist die Gleichung x - 6x + 11x -6 =0.

Lösung: a = -6, b = 11 und c = -6 ⇒ p=1, q=0 und D=-1/27
x = 2+(1/9*I*sqrt(3))^(1/3)+(-1/9*I*sqrt(3))^(1/3)=3
Die beiden anderen Lösungen findet man durch Polynomdivision (x3-5x2+11x-6):(x-3)=x2-3x+2 mit den Lösungen 1 und 2.
Ergebnis: die Gleichung hat die Löungen x1=1, x2=2 und x3=3.

Beispiel 2

3g1
            
                             3    2
Gegegeben ist die Gleichung x - 3x -3x - 1 = 0.

Lösung: a = -3, b = -3 und c = -1 ⇒ p=-6, q=-6 und D=1
Daraus ergibt sich x=1+∛2+∛4=3,8473221. Dies ist die einzige reelle Lösung.

Beispiel 3

kurve_a
   
 3    2
x + 6x +3x-10=0
a:=6; b:=3; c:=-10; p:=b-a^2/3; q:=2*a^3/27-a*b/3+c; D:=(q/2)^2+(p/3)^3;
x:=-a/3+(-q/2+sqrt(D))^(1/3)+(-q/2-sqrt(D))^(1/3) ergibt x1=1
Durch Polynomdivision erhält am die anderen zwei Lösungen x2=-5 und x3=-2.

Beispiel 4

 
 3    2
x +28x +196x+64=0

a:=28; b:=196; c:=64; p:=b-a^2/3; q:=2*a^3/27-a*b/3+c; D:=(q/2)^2+(p/3)^3;
x=-a/3+(-q/2+sqrt(D))^(1/3)+(-q/2-sqrt(D))^(1/3)
x1= -28/3+(1880/27+272/9*I*sqrt(6))^(1/3)+(1880/27-272/9*I*sqrt(6))^(1/3)=-6+4*sqrt(2)
die anderen beiden Lösungen sind dann x2=-6-4*sqrt(2) und x3=-16

Herleitung der Lösungsformel mit KI (ChatGPT)

kub_gl